I tried a THD measurement with a Hall type Notch Filter on RTX6001.
But, I see a strange behavior on Oscilloscope Vrms reading.
I set on MI-Pro, THD1, 1000Hz@48KHz with 1Vp output
My RMS multimeters says, 0.7063 Vrms the output of generator and 0.96mVrms the Notch output, but on MI-Pro Oscilloscope I see 1.2432mV Gen output and 853.10μV ADC Input.
What is happening here? It is normal due the resistance input of Notch Filter that affects with 50 Ohm RTX6001 SE Output?
I have attached the notch diagram and its values, there are source and load values, also.
Oscilloscope Vrms, wrong!
Oscilloscope Vrms, wrong!
- Attachments
-
- THD1.png (138.84 KiB) Viewed 173441 times
-
- LTSpice Diagram and measurements.png (34.89 KiB) Viewed 173441 times
-
VirtinsTech
- Site Admin
- Posts: 316
- Joined: Tue Oct 01, 2013 3:06 pm
Re: Oscilloscope Vrms, wrong!
At the notch output, your RMS multimeter measured 0.96 mVrms, while the screenshot shows that MI measured 0.8531 mVrms (or 1.2432 mVp). The two values are quite close, considering that your RTX6001 was set to a 4.472 V input range, which is too large to accurately measure such a small-amplitude signal.
Re: Oscilloscope Vrms, wrong!
OK, I understood. It was range accuracy.
I have some observations, yet.
I try on RTX6001 with this notch filter the last time, I am learning about this measurement, yet.
I have connected the notch filter and set the y-axis of FFT on dBV.
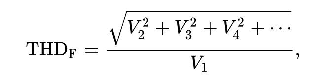
I use an excel spreadsheet for THD calculation, with THD expression the following.
Total THD = (SQRT((h2rms^2)+(h3rms^2)+(h4rms^2)+(h5rms^2)+(h6rms^2)+(h7rms^2)+(h8rms^2))/F1Vrms*100
First, I calculate the dBV value of fundamental and harmonics (f1...f7) and then calculate dBV->Vrms values.
The fundamental frequency is 1001.587, 1st 2009.766, 2rd 3014.649 and so on.
At full screen capture, I have enclosed a DDP Table with Freq vs dBVrms.
For example the fundamental displays as -61.84dBV and 1st harmonic as -129.66dBVrms.
But if I zoomed on Spectrum Analyzer display, we see that the fundamental displays as -67.16dBV and 1st harmonic as -159.22dBVrms.
If I calculate with the values of table, the THD is exactly as MI-Pro calculate, but if I calculate with that of Spectrum Analyzer the THD is much lower!
I am quite sure that there is a logical explanation for this.
I don't know which is the best way to use a notch filter with RTX6001, any advice will be appreciated.
I have show the thread "THD+N measurement with AES17-2015 notch filter".
I have some observations, yet.
I try on RTX6001 with this notch filter the last time, I am learning about this measurement, yet.
I have connected the notch filter and set the y-axis of FFT on dBV.
I use an excel spreadsheet for THD calculation, with THD expression the following.
Total THD = (SQRT((h2rms^2)+(h3rms^2)+(h4rms^2)+(h5rms^2)+(h6rms^2)+(h7rms^2)+(h8rms^2))/F1Vrms*100
First, I calculate the dBV value of fundamental and harmonics (f1...f7) and then calculate dBV->Vrms values.
The fundamental frequency is 1001.587, 1st 2009.766, 2rd 3014.649 and so on.
At full screen capture, I have enclosed a DDP Table with Freq vs dBVrms.
For example the fundamental displays as -61.84dBV and 1st harmonic as -129.66dBVrms.
But if I zoomed on Spectrum Analyzer display, we see that the fundamental displays as -67.16dBV and 1st harmonic as -159.22dBVrms.
If I calculate with the values of table, the THD is exactly as MI-Pro calculate, but if I calculate with that of Spectrum Analyzer the THD is much lower!
I am quite sure that there is a logical explanation for this.
I don't know which is the best way to use a notch filter with RTX6001, any advice will be appreciated.
I have show the thread "THD+N measurement with AES17-2015 notch filter".
- Attachments
-
- 2026-03-31_170116.png (17.74 KiB) Viewed 172527 times
-
- 2026-03-31_170349.png (132.6 KiB) Viewed 172527 times
-
- 2026-03-31_173039.jpg (10.54 KiB) Viewed 172527 times
-
VirtinsTech
- Site Admin
- Posts: 316
- Joined: Tue Oct 01, 2013 3:06 pm
Re: Oscilloscope Vrms, wrong!
Spectral leakage occurs when the sampling parameters do not satisfy the requirements for coherent sampling, i.e., [Sampling Rate] / [Signal Frequency] = [FFT Size] / [Number of Cycles]. When this condition is not met, the energy of a frequency component spreads into adjacent FFT bins, resulting in a lower peak amplitude than the actual value. A window function can be used to reduce spectral leakage by redistributing the signal energy so that it is more concentrated within a small number of FFT bins around the main lobe, allowing them to be easily summed to approximate the true peak amplitude. In Multi-Instrument, peak energies, such as those represented by DDPs, are not derived from a single FFT bin, but from the main lobe spanning multiple FFT bins, depending on the window function used.
In Multi-Instrument, the true peak amplitude can be displayed by right-clicking anywhere within the Spectrum Analyzer window and selecting [Spectrum Analyzer Chart Option] > "Mark Peaks".
More information can be found in Section 8.2 at https://www.virtins.com/doc/Measurement ... rument.pdf
In Multi-Instrument, the true peak amplitude can be displayed by right-clicking anywhere within the Spectrum Analyzer window and selecting [Spectrum Analyzer Chart Option] > "Mark Peaks".
More information can be found in Section 8.2 at https://www.virtins.com/doc/Measurement ... rument.pdf
Re: Oscilloscope Vrms, wrong!
Thank you very much for the support to my questions.
I enabled, Settings->Display->Enable Record Length...Toolbar and Press the Auto button at the up right of Multi_Instrument display.
I took the capture that I have attached.
At left channel is the input of EOSC1KV3 with the notch, the right a direct correction from oscillator to ADC (RTX6001).
With the excel I calculated the THD
https://jumpshare.com/s/RzaWkrruH28pXCkLTbhP
How can we this measurement with automatic way on Mi-Instrument Pro?
I enabled, Settings->Display->Enable Record Length...Toolbar and Press the Auto button at the up right of Multi_Instrument display.
I took the capture that I have attached.
At left channel is the input of EOSC1KV3 with the notch, the right a direct correction from oscillator to ADC (RTX6001).
With the excel I calculated the THD
https://jumpshare.com/s/RzaWkrruH28pXCkLTbhP
How can we this measurement with automatic way on Mi-Instrument Pro?
- Attachments
-
- SE Notch for Virtins.png (133.38 KiB) Viewed 169876 times
Re: Oscilloscope Vrms, wrong!
I mean't connection and not correctionlemon wrote: Thu Apr 02, 2026 6:05 pm ... the right a direct correction from oscillator to ADC (RTX6001)...
-
VirtinsTech
- Site Admin
- Posts: 316
- Joined: Tue Oct 01, 2013 3:06 pm
Re: Oscilloscope Vrms, wrong!
With the notch filter output fed into Ch. A, the original signal (i.e., the input to the notch filter) fed into Ch. B, Spectrum Analyzer working in the THD measurement mode, and the Y-scale of the Spectrum Analyzer set to dBr, dBV, dBu, dBSPL, or dBFS, you can define a UDDP (User Defined Data Point) to calculate the final THD using the following formulae.
One prerequisite is that the fundamental in Ch.A is detected at the same frequency as in Ch. B. If not, you can enter the fundamental frequency manually for THD calculation via [Spectrum Analyzer Processing]>"THD, THD+N, SINAD....." instead of using the default automatic "Peak" detection method.
Method 1 (Simplest)
You can account for the attenuation of harmonics by the notch filter by creating a CSV TXT frequency compensation file (FCF) and then loading it via [Spectrum Analyzer Processing]>"Compensation 1" or "Compensation 2". Please refer to Section 3.3.2.8.1.2 "Compensation" in the software manual for details.
(1) THD in dB
[THDDB_A(dB)]+[f1RMS_A(EU)]-[f1RMS_B(EU)]
(2) THD in %
POW(10,([THDDB_A(dB)]+[f1RMS_A(EU)]-[f1RMS_B(EU)])/20)*100
or
[THD_A(%)]*POW(10,([f1RMS_A(EU)]-[f1RMS_B(EU)])/20)
Method 2 (Assuming we only calculate up to the 9th-order harmonics)
You can either account for the attenuation of harmonics by the notch filter using the aforementioned method, or by adding additional coefficients to the formulae below.
(1) THD in %
100*sqrt(POW(10,[fnRMS_A(EU)_Array[1]]/10)+POW(10,[fnRMS_A(EU)_Array[2]]/10)+POW(10,[fnRMS_A(EU)_Array[3]]/10)+POW(10,[fnRMS_A(EU)_Array[4]]/10)+POW(10,[fnRMS_A(EU)_Array[5]]/10)+POW(10,[fnRMS_A(EU)_Array[6]]/10)+POW(10,[fnRMS_A(EU)_Array[7]]/10)+POW(10,[fnRMS_A(EU)_Array[8]]/10))/POW(10,[fnRMS_B(EU)_Array[0]]/20)
(2) THD in dB
20*LOG10(sqrt(POW(10,[fnRMS_A(EU)_Array[1]]/10)+POW(10,[fnRMS_A(EU)_Array[2]]/10)+POW(10,[fnRMS_A(EU)_Array[3]]/10)+POW(10,[fnRMS_A(EU)_Array[4]]/10)+POW(10,[fnRMS_A(EU)_Array[5]]/10)+POW(10,[fnRMS_A(EU)_Array[6]]/10)+POW(10,[fnRMS_A(EU)_Array[7]]/10)+POW(10,[fnRMS_A(EU)_Array[8]]/10))/POW(10,[fnRMS_B(EU)_Array[0]]/20))
One prerequisite is that the fundamental in Ch.A is detected at the same frequency as in Ch. B. If not, you can enter the fundamental frequency manually for THD calculation via [Spectrum Analyzer Processing]>"THD, THD+N, SINAD....." instead of using the default automatic "Peak" detection method.
Method 1 (Simplest)
You can account for the attenuation of harmonics by the notch filter by creating a CSV TXT frequency compensation file (FCF) and then loading it via [Spectrum Analyzer Processing]>"Compensation 1" or "Compensation 2". Please refer to Section 3.3.2.8.1.2 "Compensation" in the software manual for details.
(1) THD in dB
[THDDB_A(dB)]+[f1RMS_A(EU)]-[f1RMS_B(EU)]
(2) THD in %
POW(10,([THDDB_A(dB)]+[f1RMS_A(EU)]-[f1RMS_B(EU)])/20)*100
or
[THD_A(%)]*POW(10,([f1RMS_A(EU)]-[f1RMS_B(EU)])/20)
Method 2 (Assuming we only calculate up to the 9th-order harmonics)
You can either account for the attenuation of harmonics by the notch filter using the aforementioned method, or by adding additional coefficients to the formulae below.
(1) THD in %
100*sqrt(POW(10,[fnRMS_A(EU)_Array[1]]/10)+POW(10,[fnRMS_A(EU)_Array[2]]/10)+POW(10,[fnRMS_A(EU)_Array[3]]/10)+POW(10,[fnRMS_A(EU)_Array[4]]/10)+POW(10,[fnRMS_A(EU)_Array[5]]/10)+POW(10,[fnRMS_A(EU)_Array[6]]/10)+POW(10,[fnRMS_A(EU)_Array[7]]/10)+POW(10,[fnRMS_A(EU)_Array[8]]/10))/POW(10,[fnRMS_B(EU)_Array[0]]/20)
(2) THD in dB
20*LOG10(sqrt(POW(10,[fnRMS_A(EU)_Array[1]]/10)+POW(10,[fnRMS_A(EU)_Array[2]]/10)+POW(10,[fnRMS_A(EU)_Array[3]]/10)+POW(10,[fnRMS_A(EU)_Array[4]]/10)+POW(10,[fnRMS_A(EU)_Array[5]]/10)+POW(10,[fnRMS_A(EU)_Array[6]]/10)+POW(10,[fnRMS_A(EU)_Array[7]]/10)+POW(10,[fnRMS_A(EU)_Array[8]]/10))/POW(10,[fnRMS_B(EU)_Array[0]]/20))
Re: Oscilloscope Vrms, wrong!
Congrats!
Tommorow, I will try your way!
Tommorow, I will try your way!
Re: Oscilloscope Vrms, wrong!
I am come back 
As you can see, the method-1 described as THD Notch 1 and the method-2 as THD Notch 2.
THD 20-20K, without compensation, I have
Method-1, 0.0000099% (-142.18dB)
Method-2, 0.0000079% (-141.79dB)
THD 8 harmonics order, without compensation, I have
Method-1, 0.0000078% (-142.18dB)
Method-2, 0.0000081% (-141.79dB)
I see that one method vs other is better according the THD range of measurement.
As you can see, the method-1 described as THD Notch 1 and the method-2 as THD Notch 2.
THD 20-20K, without compensation, I have
Method-1, 0.0000099% (-142.18dB)
Method-2, 0.0000079% (-141.79dB)
THD 8 harmonics order, without compensation, I have
Method-1, 0.0000078% (-142.18dB)
Method-2, 0.0000081% (-141.79dB)
I see that one method vs other is better according the THD range of measurement.
- Attachments
-
- THD 20_20K, without compensation.png (146.46 KiB) Viewed 166904 times
-
- THD 8 harmonics, without compensation.png (143.16 KiB) Viewed 166904 times
Re: Oscilloscope Vrms, wrong!
Let's see what happens if I applied a compensation notch file.
I create a .fcf file with the values as I show at the attachment and then I loading it via [Spectrum Analyzer Processing]>"Compensation 1".
All the band under 2K has gone, I see at the manual that all frequencies that falls outside the defined range will be given a gain value of –1000 dB.
At the start the .fcf file had only 2..8 values of harmonics, after I created this file with some frequencies from 10-1000Hz.
Right click on spectrum analyzer with only the A channel of notch filter has no enabled the "Generate Frequency Compensation File (Flat)" to try with this way.
I create a .fcf file with the values as I show at the attachment and then I loading it via [Spectrum Analyzer Processing]>"Compensation 1".
All the band under 2K has gone, I see at the manual that all frequencies that falls outside the defined range will be given a gain value of –1000 dB.
At the start the .fcf file had only 2..8 values of harmonics, after I created this file with some frequencies from 10-1000Hz.
Right click on spectrum analyzer with only the A channel of notch filter has no enabled the "Generate Frequency Compensation File (Flat)" to try with this way.
- Attachments
-
- THD with compensation.png (128 KiB) Viewed 166896 times
-
- Notch Compensation File.png (8.32 KiB) Viewed 166896 times